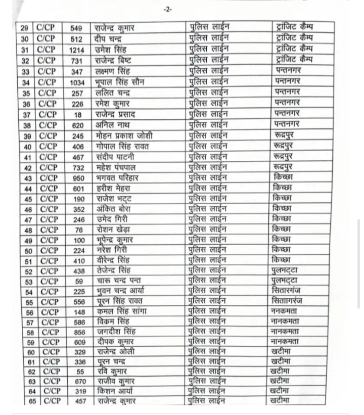
उधमसिंहनगर : एसएसपी किये 5 दर्जन से अधिक पुलिस कर्मियों के तबादले, देखिये लिस्ट…..
सब से तेज सब से आगे
रुद्रपुर। एसएसपी उधमसिंहनगर द्वारा निम्न आरक्षियों को किया स्थान्तरित।👇


News Journalist | Ground Reporter | Truth Seeker
“Sach dikhana mera farz hai, awaaz uthana meri zimmedari.”
Delivering real, verified stories straight from Haldwani.
Focused on local issues, political affairs & human stories that matter.
Reporting from: Haldwani, Uttarakhand
📞 Contact for authentic coverage & breaking news.